黄仁勋10月份持续卖出英伟达:已套现超1.1亿美元

2025-10-12 16:03:20 来源:新浪科技 作者:未知 编辑:心态良好的胖子 浏览:loading

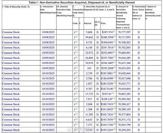
美东时间10月10日盘后,英伟达提交至美国证券交易委员会(SEC)的文件显示,公司CEO黄仁勋在10月8日至10日期间,通过20笔交易卖出22.5万股股票,套现逾4280万美元。

游民星空

此前文件显示,今年10月,黄仁勋在10月1日至7日连续五个交易日分别减持7.5万股,套现金额合计逾7024万美元。照此计算,今年10月以来,英伟达CEO黄仁勋在美国证券交易所通过多次交易减持公司股票,已累计套现超1亿美元,达1.13亿美元。

游民星空

截至2025年10月10日,黄仁勋仍持有超过7060万股英伟达股票。

人喜欢
游民星空APP
随时掌握游戏情报
code
休闲娱乐
综合热点资讯
单机游戏下载
好物推荐
游民星空联运游戏
黄仁勋10月份持续卖出英伟达:已套现超1.1亿美元https://imgs.gamersky.com/upimg/new_preview/2025/10/12/origin_b_202510121601147983.jpg