游民星空 > 攻略秘籍 > 攻略 > 正文

《原神》1.6版剧变反应改动解析

2021-06-23 15:09:07 来源:米游社论坛 作者:奥托大人请坚强 我要投稿

第1页:

展开

《原神》1.6版本对原本比较弱势的剧变反应进行了改动,新版本的剧变反应有什么特点,角色的配队上有了什么新的选择呢,请看下面“奥托大人请坚强”带来的《原神》1.6版剧变反应改动解析,希望能够帮助大家。

1.6剧变反应改动详解

剧变反应在1.6版本的改动全部集中在伤害方面。主要分为两个部分,其一为提高了剧变反应在高等级下的基础伤害,使得模型稍有平衡,其二是显著提高了元素精通在剧变反应下的收益。在两者共同作用下,剧变反应的伤害相较1.5有着成倍的增长。

1·基础伤害调整

和老版本一样,扩散、感电、碎冰、超载分别具有超导反应1.2、2.4、3、4倍的伤害。而超导反应的基础伤害如下图所示

游民星空

在公告中,原文如下:

“提升了角色60级以后,由角色触发的剧变反应(感电、超导、超载、扩散、碎冰)基础伤害”

实际上由于新版本剧变反应解析式为分段函数,且60级并不是一个边界点,所以虽然在0精通超导反应中,60级以前的伤害都没有变化,但在超载反应等放大过的伤害表现中,尤其是使用高额元素精通放大后,57级到59级的伤害都会出现微小的变化。

考虑到各位的练度,我们仅仅关注几个关键数据点,比如说70级、80级以及90级,超导反应基础伤害分别从老版本的360、473、601提高到了382、538、723,分别提升了6%,14%和20%。

仅从这个视角来说,提升虽然很大,但是仅仅这样并不能改变如今剧变反应只能打功能性的现状。如果是一支队伍的DPS提升了20%那是巨大的加强,但如果只是一个伤害分类的提升,对于整体的影响就很难说了。

2·元素精通收益提高

公告原文中描述如下

“提升了元素精通属性对剧变反应的伤害加成(具体以游戏内属性面板为准)”

老版的元素精通对剧变反应伤害加成为:

游民星空

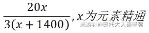
新版剧变反应伤害加成为:

游民星空

光看公式可能不太直观,折算成比较常见的400精通、600精通、800精通,其提升分别从老版本的148.1%、200%、242.4%,提高到了1.6版本的266.7%、369.2%、457.1%。

新版本不仅有更高的提升上限,同时提升衰减速度也要低于老版本的元素精通提升。如果我们有一个800精通四魔女的角色触发了超载反应,应造成的伤害为17277点,相较于老版本同配置的9199点伤害,以及是接近一倍的提高了。

剧变反应队伍可能性探讨
感电队的可能性探讨

在这一节,我希望通过感电的性质,来为大家解读为什么感电反应难以单独作为队伍核心输出。

1.5以及此前版本,深渊可能出场的主流队伍,几乎都不与剧变反应相关。

唯一相关的公子站场双雷三脱手的公子行秋菲谢尔北斗的“感电队”,感电实际的DPS不超过5000,在整个队伍的输出中占比很小。在这支队伍里感电的核心收益集中在其优秀的削韧属性上。

感电自带一秒的触发内置CD,在1.6版本中,套用上述队伍,每个人都拉满元素精通属性四如雷——虽然这么操作不太实际。实际上感电主要由附着频率较低的菲谢尔与北斗承担。因此这两位带上600精通也是可以接受的。在这种情况下。感电即便无缝触发,DPS也仅有8840点每秒。我认为想要通过暴击雷伤等属性提高两位脱手雷C共9000点DPS并不难做到。

综上所述,感电队的思路存在很多问题,最核心的矛盾便是感电自带1秒的触发CD,这代表着多个水雷角色的收益将显著衰减,在上述例子中,我们需要叠加两位雷元素角色的元素精通才可以起到理想的剧变反应提升。其次触发频率也限制了其DPS,让感电为核心的伤害上限已经明确的摆在这里了。

感电需要重复消耗元素才能触发,这代表着感电队与其他元素角色的兼容性并不高。唯一可能合理介入的元素是风元素针对多目标扩散后重新感电。很可惜类似温迪大招染色做不到这点,因此很难稳定长时间触发。(可以期待新的风元素角色)

我此前有分析过一个三辅助站场输出考虑到技能回转的合格DPS需要在2万以上,这代表着在当前环境下,你可以在40秒内击杀目前深境螺旋的大多数敌人。在5月下的深境螺旋中,考虑到大量时间需要留给破盾,引怪等,实际上这基本上是拿下满星的合理时间。而感电想要拿出超过1.5万的DPS都稍显疲软。对于此前描述的9000DPS的感电,击杀80万生命的敌人需要近90秒,这显然是一个满星阵容无法接受的时间。

如果一个角色可以拿出9000的场下DPS,那他已经是一个非常优秀(当前最超模)的脱手输出了。但是在感电这种思路里很难做到。你需要追求两个角色,甚至三个角色的元素精通才能够保证剧变反应的高伤害。这变相的代表了为一名角色增加元素精通的收益下降。

所以确保感电由单一角色触发是非常重要的,但在感电反应的机制里很难做到。目前仅能通过风扩散水雷来达成这个要求。

扩散为核心输出

扩散作为核心输出的角色,其实原本就有一个神奇的温迪。只不过在当前版本这个伤害被进一步放大了。

扩散有一个很有趣的地方,就是它可以进行AOE叠加,也就是说多个敌人一起被扩散,那么这个扩散的伤害会相互影响。

但是不同于公子的断流,这个叠加是有上限的,如果是同一次攻击造成的同一种扩散,最多只会受到两次影响,因此温迪同时卷起来很多很多敌人,每个敌人一次扩散也只会受到两次伤害

但如果触发扩散反应的攻击不一致,那么就要另算了,因此如果温迪的大招不是同时把人卷进来,扩散伤害会成倍提高。温迪元素爆发的攻击间隔大约是0.5秒,如果每次攻击都恰好触发两次扩散,那么总伤害量会非常可观。并且这些元素反应均由温迪触发,可以集中将元素精通属性提供给温迪单人。

因此每个敌人最多一秒受到四次扩散反应的影响,按照此前的演算,600精通风套扩散反应的大招期间DPS可以达到惊人的21383。不过前提是至少六个敌人,每半秒卷进来两个敌人。这是需要不少运气的。(我认为没人能够把敌人的位置控制的这么好。)

如果是三个敌人分两批卷进来,每个人平均每秒受到1次扩散反应的影响,这属于比较常见的温迪使用场合。这时温迪的大招期间扩散反应DPS大约为7000点。

对于同属性点配置的风套温迪来说,叠加攻击暴击相关属性是远远达不到这种DPS的,(600精通仅仅占用了100属性点)

但是从这里也能看出元素精通的缺陷依旧存在:你无法叠加过多的属性在元素精通里,并且边际收益衰减更快。

边际收益这个东西我在之前的文章里有谈过。元素精通的函数形式代表了它的边际收益相比攻击暴击等属性的边际收益有更快的衰减速度,并且由于剧变反应相关因子仅有元素精通一项,所以当总属性点较高时,元素精通的边际收益衰减速度更是数倍于非剧变反应所需的属性。在1.6版本后,较低属性点情况下剧变反应将显著的增强,但总属性点提高时,属性投入剧变反应的收益将依旧不如常规玩法。

并且另一方面,元素精通的总属性点就不高,因为大多数角色都并非元素精通突破属性,大多数实用的武器也不是元素精通副属性武器,提供元素精通的手段并不多。由于有三件主属性元素精通的圣遗物,因此仅有两件圣遗物花毛可以在副属性上提供元素精通。即便每一项都拉满,总属性也很难超过1000精通,而一个毕业的站场输出通常可以在攻击暴击等属性上叠加超过200属性点。

因此剧变反应这种思路并不适合主要投入资源的站场输出角色,而更倾向于一些对于属性多元化有要求的非站场角色,比如说很需要充能的温迪、丽莎、北斗等角色。

超导为核心输出

虽然超导伤害是最低的,但其实超导和扩散一样有AOE叠加的机制

不过很遗憾目前没有什么稳定高频上冰雷的手段,这部分可以让旅行者自由发挥了。

我可以说很多超导难以用来打输出的原因,比如说AOE范围小,比如说目前少有连续附着冰元素角色等等,但本文的目的还是在于讨论其可行性。我希望写的是超导有什么地方让它可以用来作为核心伤害手段。

超导的优势就在于也仅在于AOE叠加,还有一个不知道能不能算优势的就是没有什么打断削韧能力,这使得它不会像超载一样把怪物炸的到处飞,也勉强能算超导反应在对群情况下的优势之一。

超载为核心输出

这一节我希望可以简单的描述超载反应的特点,并对超载反应用于队伍输出做一个探讨。

同一次攻击造成的超载,无论多少次对同一个敌人也只有一次影响,

这点极大的限制了这个最高基础伤害的剧变反应。这使得其爆炸的大范围AOE的特性的优势被大幅降低了。另一边超载爆炸的特性也让该反应很难较高频率的触发,原本应当是优势的部分反而影响了输出。不过只要敌人不会被炸的到处跑影响你的伤害,其实连续触发超载也是可以考虑的建队思路。

目前两位火法器都是可以站场高频附着火元素的,尤其是可莉元素爆发和元素战技都可以较高频附着火。由于可莉本人频率可以远高于后台雷元素角色,因此可以集中元素精通在雷元素角色身上,不必可莉本人携带大量元素精通。

这种思路就是站场角色能够以足够高的频率附着元素,然后场下一个触发反应角色连续触发剧变反应,并且要保证站场角色的元素附着频率一定要足够,使得其基本先于场下角色附着,以保证场下角色触发元素反应。

这种思路能不能玩多剧变反应呢?我认为除了扩散这种对多个敌人可以补充附着的剧变反应以外,其他剧变反应在目前的环境下都不能随意组合,除非站场输出的元素附着频率足以cover住两个不同元素的后台,或者是再用一个同元素后台。比如说雷站场加雷脱手加水火后台——以目前的角色池来说,还不存在能够以这种思路组建的队伍。

很难说六命菲谢尔加温迪可莉的剧变反应队比起行秋可莉班尼特的增幅反应队强度如何,因为一边是集中给可莉站场输出提供加成,另一边是可莉站场的同时脱手各自触发剧变反应伤害。显然前者的优势在于不用过分的追求你的圣遗物副属性,甚至连套装效果都不那么重要了。精通主属性往上一套就能凑活着用了。行秋是显然做不到这点的。具体的孰强孰弱这里不做数值分析,仅做抛砖引玉。

碎冰为核心

很负责任的说,碎冰在目前很难作为一种输出思路。这里给大家详细说明一下

首先我们在此前有分析过,站场输出并不适合元素精通属性。

那么连续触发碎冰的角色如何不在场上呢?

目前好像只有钟离可以做到这点。

也就是说我们需要两个角色给钟离打工,为了这个碎冰,我们需要牺牲冰C40%暴击率和站场输出的生存环境。

在目前游戏环境下,冻结反应对于输出环境的提升的作用绝对是远大于它碎冰的剧变伤害的。

至少我并不觉得这是个划算的买卖,如果是整活这种思路真的可以玩玩。

多元素剧变反应可行性探讨

上文我们有提到,在没有风元素的情况下,多剧变反应的收益并不高,我在这一个部分会具体的探讨这个问题。

在我们此前的思路里,无风元素的情况下队伍里只推荐一名脱手角色携带元素精通属性。在没有通过扩散多目标补充元素的情况下,我们打出的元素量只能支持有限的反应。由于目前剧变反应的核心元素就是雷元素,我们分析一个这样的情况。

如果我们希望通过无风后台角色触发感电和超载两种剧变反应,并且希望触发反应的角色仅有一人,这是不可能的,因为感电的机制决定了每当火元素附着上去时,一定会由该火元素角色触发超载反应,视情况还会触发蒸发反应。

也就是说我们必须为两名角色携带元素精通才能保证两种剧变反应都能获得不可略去的伤害,否则没有精通的反应反而会因为减少元素附着量而降低有精通反应的频率。如果只是要灌伤害不依赖剧变反应,那么为什么不用不会影响反应的后台输出呢?

超载反应是必然降低感电反应频率的,元素反应的基础是消耗元素量,而超载的火附着则会同时消耗水雷两个元素——如果残留了水元素可能更加糟糕,因为我们接下来触发感电反应的多半是雷元素角色,一个没有携带元素精通的角色。那么触发这次超载反应的代价是损失一秒钟的感电伤害——目前有限的后台水元素附着仅有一秒一次的行秋元素爆发(实际上很难出现高于这个后台附着频率的角色)。那么这个超载反应实际的净收益是低于我们的期待的。

总结起来,无风情况下使用水火雷三元素更多的是让你的元素反应更加炫酷,打出优秀的视觉效果。

冰火后台+双雷其实是可以比较舒服的触发超导和超载的,可惜超导伤害有点低,我不推荐在怪物不扎堆的时候使用它打伤害,无风角色的情况下怪物并不怎么愿意自己扎堆。而超导核心的降低物抗在这个阵容里也失去了价值。因为我们需要两个雷元素角色保证附着来确保双剧变由精通角色触发,因此物理站场并不适合插入这个思路里。

在使用风元素角色染色的情况下,情况会好很多,扩散反应补充元素的机制很好的补足了多剧变反应由于损失元素量而支付的代价。尤其是使用扩散加感电的情况下,感电会更多由风元素角色触发从而解放一个精通角色。

不过很遗憾的是,目前唯一的火后台好像和温迪兼容性不太好。而超载和砂糖的兼容性也不太好,这个只能期待后续角色了。

剧变角色站场可行性探讨

我不否认可能出现可以适应站场的剧变反应角色。我们可以确定一点是,适合用来打站场的剧变反应只有两个,一个是扩散一个是超载,前者可以保证风元素角色自身触发的同时无上限的提高反应频率,后者拥有足够高的伤害,并且理论上不容易受频率上限限制(这点区别于感电)

超载站场需要足够高频率的火雷站场,还需要频率更高的对应后台。目前并不存在这种配对,烟绯应该属于频率不错,并且能够被双雷后台cover住的一个选择,可莉的频率过高了,用五星角色的优质面板打剧变反应也稍微有点浪费。

目前最适合站场打剧变反应的角色就是砂糖,风元素的优势和足够高的附着频率让砂糖难以被超越。

砂糖的DPS和敌人数量有较大的关系,这来源于扩散的特殊性质。仅讨论两个敌人的情况下,一次AOE攻击触发的扩散反应对同一敌人影响最大化。800精通砂糖的大招期间DPS大约在2W上下,没有大招时候的砂糖的扩散频率和通过扩散的元素附着触发其他剧变反应的能力都不太出众。砂糖的特点在于可以将元素附着的次数集中在短时间内,但是80能量的元素爆发和长CD的元素战技让她的空转时间非常长。一旦进入普攻时间,扩散频率将大幅降低。

这个数字作为一个站场输出是绝对合格的。虽然和专职的优质站场输出有亿点点的差距,但优势是好养。

另一个比较大的优势就是不过你搭配什么场下输出,砂糖都能给出不错的伤害,她完全不挑队友。这点和增幅角色极度依赖行秋,低攻击角色极度依赖班尼特等有比较大的区别。

不过砂糖的劣势有些太过明显,作为一个依赖元素爆发和元素战技的剧变反应角色,她的元素战技CD和元素爆发需要的能量都太多了。

类似优菈,魈,烟绯一类的角色,同样是80能量,作为攻击核心角色,将伤害集中在一个时段会方便吃到各种buff加成。而剧变核心角色则很难做到这点。增幅队将时间轴对齐是幂次收益,而剧变队时间轴对齐只不过是产生伤害的基本,并且互相对伤害影响很小。

因此对于队伍伤害有一定追求的玩家,我目前并不推荐站场剧变角色。

如何养成剧变反应队

首先,我希望大家了解一下通过攻击造成伤害的角色和通过剧变反应造成伤害的角色,在资源投入上有哪些区别。

对于一个攻击造成伤害的角色,我们需要提升的是武器等级,角色等级,天赋等级,圣遗物主属性,五件圣遗物副属性这些项目,当然还有武器精炼,但武器精炼并不是消耗常规资源的项目所以暂不讨论。

而对于剧变反应为核心伤害的角色,我们主要有这几个项目需要注意,角色等级,精通武器等级,圣遗物主属性,两件圣遗物副属性,很明显投入的项目要少很多。

其次由于元素精通边际收益高速衰减的特性,圣遗物副属性的性价比非常低,在没有使用精通武器的情况下,我们甚至只有两个项目需要投入资源。也就是角色的90级和三件精通主属性圣遗物。

而放在队伍里讨论,与增幅反应队,或者是纯堆伤害的队伍相比,剧变反应队的资源投入有较大的区别,对于剧变反应队伍,首先站场输出的投入优先级将大幅降低,因为他不再是队伍最重要的核心,虽然有最高的伤害占比,但是在队伍其他组建基本成型前不应该考虑站场输出的圣遗物副属性或是高天赋等级的提升。

由于仅有两个因素影响剧变反应伤害,因此我们需要优先将剧变反应角色的这两个要素拉满,也就是他们的等级拉到90,并且三件主属性精通刷出来拉满——至于需不需要对应四件套,我认为通常不如两个80精通的二件套效果,除了神奇的风套,因为风套削抗也是能够提升剧变反应造成的伤害的。

精通二件套常见的比如乐团,比如说四星的教官——甚至你可以把主属性精通也换成四星,因为四五星精通差异没有那么大。两个精通教官和两个散件五星精通差不多,在性价比上甚至更优,搭配教官花毛还有额外提升。

举例来说,如果你没有精通如雷,并且想拉一个精通菲谢尔,并没有去刷一套如雷的必要,只需要找找你有没有两个精通主属性的乐团就好了,如果没有可以考虑四星精通教官四件套加一个精通主属性散件,效果也不比一套如雷差多少。

如果是温迪,还是好好刷精通风套吧。

为你的站场输出圣遗物提升一点点都是非常困难的情况下,仅仅是刷一套主属性相比之下就轻松不少了。

为了维持队伍循环稳定,有些角色的充能也是很有必要的,比如说行秋北斗香菱一类的角色,砂糖打脱手也是非常需要充能的。温迪由于突破天赋以及突破属性对装备的充能需求相对较低。我个人不推荐盲目叠大数字精通,对于剧变反应队伍反应频率是最有效提升输出的方式。传统站场增幅队可以接受长时间的充能时间来获取高额的爆发,但是剧变队不一样,不同于增幅队伍多加成叠乘的幂次收益,剧变队伍几乎不从加成里获取收益,能量直接和附着频率挂钩的情况下,充能对剧变角色的重要性是高于非剧变角色的。

写在最后

这篇稿子在1.6更新的第一天就已经写好了,但是因为考试的原因一直搁置了,今天好不容易抽出点空闲,感觉最近应该不会有多的时间优化,就直接发出来了

我认为作为攻略作者,写一篇半成品其实是很不负责任的行为,原计划是针对几个剧变反应的阵容做一个最优分析。但是工作量的确很大,我的设备的帧率也不允许我捕捉到剧变队每一个伤害数字。眼看1.6要过完了,所以只能先把一个基本只做了定性分析的文章发了出来,对那些想看比较严谨的文章的旅行者我希望表达自己的歉意。

这篇文章很多内容思路和目前论坛的一些玩法是有一些出入的,毕竟我写这篇文章的时候并没有参考后来的作品。我不会去具体的说谁谁谁的玩法有什么什么问题,原神本身也是自己怎么玩快乐就怎么玩的游戏。我在文章中其实更注重的是搭配元素的思路以及可行性的探讨,并未过多着眼于某一个角色或是某一个阵容。

对砂糖额外的偏爱是因为她太火了,我认为我有必要指出砂糖站场的强度并没有过分的强,只能说性价比和泛用性很高,毕竟角色的本质还是在脱手和加成上。我在最开始甚至写了站场角色不宜以精通为核心这样的结论。但砂糖的特殊性让这种玩法成了可能。

比如论坛很流行的砂糖感电队,如果有心拆解会发现扩散伤害占比比感电要大得多。在砂糖只能普攻的时间里甚至感电都不由砂糖触发。其实从机制上说,扩散也是唯一有可能作为站场剧变C的反应手段。

可以预见精通脱手将会成为可行的选择,虽然高属性投入情况下剧变收益不如攻击,但对于行秋菲谢尔这样的角色来说,剧变反应等于赋予了两位对单角色对群输出的能力。攻击敌人数量永远是最高效率的伤害影响因子。

我没有在文章里逐个介绍每一种玩法也是因为,剧变反应的增强极大程度上丰富了可行队伍组建的广度。所以很多脱手角色都会有精通和攻击两种玩法,在今后,同一个角色在不同的队伍,针对不同的敌人都可以使用不一样的配装,用一个固定的队伍固定的配装是没法应对多数情况的。所以我在文章里只对以几种剧变反应为核心配队打伤害的思路进行了介绍。

提一嘴刻晴应该是剧变反应队比较好用的雷站场,因为目前就一个雷站场角色。

烟绯的附着频率还不如迪卢克,甚至不如香菱,用来做火剧变队站场其实不是很合适,最优的火剧变站场应该是可莉。

水站场搭配冰雷脱手其实不错,公子可是唯一指定水站场角色。

冰站场不适合剧变队,老老实实打冻结和增幅吧。

更多相关内容请关注:原神专区

责任编辑:无情的打字机器

本文是否解决了您的问题

游民星空APP
随手浏览游戏攻略
code
攻略合集
角色培养指南
世界任务
单机游戏下载
休闲娱乐
综合热点资讯
游民星空联运游戏