游民星空 > 资讯中心 > 正文

印度科学家:百年前拉马努金π公式与现代高能物理存在直接关联

2025-12-07 19:30:51 来源:IT之家 作者:问舟 编辑:苦柘 浏览:loading

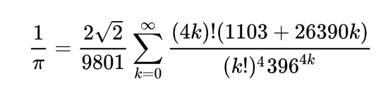
12 月 7 日消息,1914 年,印度天才数学家斯里尼瓦瑟・拉马努金在他的论文里发表了一系列共 14 条圆周率的计算公式,后来成为现代超级计算机使用的 Chudnovsky 算法等方案的理论基础。其中最著名的一项是:

游民星空

而根据拉马努金自称,他晚上睡觉做梦时,梦到的印度教娜玛卡尔女神会给予他数学上的灵感。

该公式每计算一项就能带来约八位十进制的精度,极大推动了 𝜋 的计算速度。1985 年,Gosper 仅凭这个公式计算到了圆周率的 17,500,000 位。

游民星空

印度科学家最新研究显示,拉马努金提出的圆周率经典公式,不仅奠定了现代超高精度计算 π 的算法基础,还与当前高能物理中的关键理论结构存在直接关联。该研究来自印度科学研究所(IISc)高能物理中心(CHEP),相关成果已于 12 月 2 日发表于《物理评论快报》。

“科学家已经使用一种名为 Chudnovsky 算法的方法计算出了约 200 万亿位的圆周率,而这些算法实际上基于拉马努金的工作。”CHEP 教授、该研究的高级作者 Aninda Sinha 表示。

研究团队成员、论文第一作者 Faizan Bhat 介绍,他们试图回答一个长期被视为“几乎魔法般”的问题:为何这些公式能够如此高效地运作?研究者并未从纯数学层面寻找答案,而是寻求它们是否源自某种自然存在的物理结构。

游民星空

通过对多类高能理论的比较,研究团队发现,拉马努金公式的数学起点与一类重要的物理理论 —— 对数型共形场论(logarithmic conformal field theories, LCFTs)—— 的核心数学结构完全一致。共形场论常用于描述具有尺度不变性的系统,例如处于临界点、液气不再区分的水;而 LCFTs 则可描述临界渗流、湍流起始阶段,以及某些黑洞相关的理论框架。

研究进一步表明,当识别出这种数学结构重合后,拉马努金公式的推导方式能够被用来高效计算 LCFTs 中一些通常需要繁复计算才能获得的物理量,与其在数学中快速生成 π 小数位的方式高度类似。Bhat 表示:“在任何一项优美的数学中,你几乎总能找到某个物理系统与之相互映照。”

Sinha 说:“我们只是单纯被拉马努金数学的美感吸引 —— 一位 20 世纪初在印度工作的天才,几乎没有机会接触现代物理,却预见了如今我们用来理解宇宙的核心结构。”

研究者指出,这一联系属于首次被确认的结果,为湍流、渗流及部分黑洞物理中的复杂量计算提供了更高效的解析途径。但相关方法目前主要适用于 LCFTs,不意味着可直接解决如湍流预测等长期难题,而是为这些问题提供新的数学切入路径。

人喜欢
游民星空APP
随时掌握游戏情报
code
休闲娱乐
综合热点资讯
单机游戏下载
好物推荐
游民星空联运游戏
百年前"做梦得出"的逆天公式或与现代高能物理相关!https://imgs.gamersky.com/upimg/new_preview/2025/12/07/origin_b_202512071922374136.jpg