游民星空 > 攻略秘籍 > 攻略 > 正文

《戴森球计划》环赤道太阳能腰带机制解析与太阳能板发电期望

2021-04-20 12:32:43 来源:bilibili 作者:truewillium 我要投稿

第6页:太阳能板的发电期望

展开

太阳能板的发电期望

利用第2节中赤道太阳能腰带的实验结论,我们可以知道,除去光能利用率的因素后,赤道上太阳能板的发电功率期望为196.64 kW(即360 kW × 0.54622)。

此外,根据第4节的数据,可以求出,任意位置的太阳能板,发电功率期望的均值为205.57 kW,过程如下:

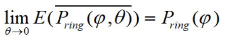
已知:太阳能环的功率P_ring和纬度φ、地轴倾角θ有关。

当地轴倾角趋于0时,每环太阳能板的年化功率期望P_ring只和纬度有关。忽略第6节所述的地轴倾角带来的过渡区季节性拉伸,太阳能环的年化功率期望全等于地轴倾角趋于0时,太阳能环的功率,数学语言表述为:

游民星空

第4节中给出了在潮汐锁定星球上的一系列太阳能环功率和纬度的函数关系P_ring(φ)以及该纬度所能容纳的太阳能板数量和纬度的函数关系n_ring(φ)。

二者对纬度φ积分,从-90°(南半球)积到90°

  • ∫P_ring为9358.59 MW(即铺满整个球,发电的期望为9.36 GW)
  • ∫n_ring=33721.70(即铺满整个球需要33721.7个太阳能板)。相除为277.5242 kW

同时,赤道处太阳能板平均功率为265.4655 kW,277.5242 / 265.4655 = 1.0454。

游民星空

  • 那么赤道太阳能板的平均功率期望为360 kW×0.54622 = 196.64 kW
  • 全球太阳能板的平均功率期望为360 kW × 0.54622 × 1.0454 = 205.57 kW

也能用此法算得,高纬度区(70°~90°)太阳能板的平均功率期望为:264.48 kW(方法和全球一致)

更多相关内容请关注:戴森球计划专区

责任编辑:不能天使

上一页 1 2 3 4 5 6
友情提示:支持键盘左右键“← →”翻页

本文是否解决了您的问题

游民星空APP
随手浏览游戏攻略
code
单机游戏下载
休闲娱乐
综合热点资讯
游民星空联运游戏